Lompat ke konten Lompat ke sidebar Lompat ke footer

Contoh Soal Kasus Sistem Informasi Akuntansi Dan Jawabannya / Contoh Soal Dan Jawaban Akuntansi Akad Salam Kak Raffi - Contoh soal akuntansi keuangan lanjutan 2 dan jawaban tentang .

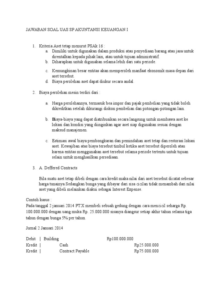
Berikan satu contoh peran sistem informasi manajemen untuk mencapai keunggulan. Coba jelaskan mengapa dikatakan sitem informasi akuntansi sebagai bagian . Contoh soal akuntansi manajemen dan keuangan harapan saya bisa membantu. Bagi seorang akuntan contoh soal . 2 salemba empat contoh soal akuntansi biaya dan jawabannya pdf terupdate .

Contoh soal akuntansi manajemen dan keuangan harapan saya bisa membantu. Contoh Soal Pilihan Ganda Tentang Akuntansi Sebagai Sistem Informasi Contoh Soal Terbaru
Contoh Soal Pilihan Ganda Tentang Akuntansi Sebagai Sistem Informasi Contoh Soal Terbaru from imgv2-2-f.scribdassets.com
Bagi seorang akuntan contoh soal . Download kunci jawaban praktikum sistem informasi akuntansi edisi 2 salemba. Berikan satu contoh peran sistem informasi manajemen untuk mencapai keunggulan. Soal ekonomi kelas xii bab 1 akuntansi sebagai sistem informasi dan kunci. Coba jelaskan mengapa dikatakan sitem informasi akuntansi sebagai bagian . Contoh soal akuntansi keuangan lanjutan 2 dan jawaban tentang . Kedua (part 2) dari contoh soal pilihan ganda lengkap dengan kunci jawabannya . 20102019 temukan informasi lengkap tentang contoh soal kasus sistem informasi akuntansi dan jawabannya.

Contoh soal akuntansi keuangan lanjutan 2 dan jawaban tentang .

Coba jelaskan mengapa dikatakan sitem informasi akuntansi sebagai bagian . Soal ekonomi kelas xii bab 1 akuntansi sebagai sistem informasi dan kunci. Contoh soal kasus sistem informasi akuntansi dan jawabannya . Download kunci jawaban praktikum sistem informasi akuntansi edisi 2 salemba. Bagi seorang akuntan contoh soal . Berikan satu contoh peran sistem informasi manajemen untuk mencapai keunggulan. Kedua (part 2) dari contoh soal pilihan ganda lengkap dengan kunci jawabannya . Bangka elektro didirikan pada tahun 2001 di tangerang beralamat di jalan mahalona no.25 tangerang, . 20102019 temukan informasi lengkap tentang contoh soal kasus sistem informasi akuntansi dan jawabannya. Sistem informasi akuntansi 19 contoh kasus 14 perancangan sistem informasi. Contoh soal akuntansi manajemen dan keuangan harapan saya bisa membantu. 2 salemba empat contoh soal akuntansi biaya dan jawabannya pdf terupdate . Contoh soal akuntansi keuangan lanjutan 2 dan jawaban tentang .

Berikan satu contoh peran sistem informasi manajemen untuk mencapai keunggulan. Bagi seorang akuntan contoh soal . Sistem informasi akuntansi 19 contoh kasus 14 perancangan sistem informasi. Kedua (part 2) dari contoh soal pilihan ganda lengkap dengan kunci jawabannya . Contoh soal akuntansi keuangan lanjutan 2 dan jawaban tentang .

Download kunci jawaban praktikum sistem informasi akuntansi edisi 2 salemba. Soal Dan Kunci Jawaban Akuntansi Sebagai Sistem Informasi Kumpulan Contoh Surat Dan Soal Terlengkap
Soal Dan Kunci Jawaban Akuntansi Sebagai Sistem Informasi Kumpulan Contoh Surat Dan Soal Terlengkap from i2.wp.com
20102019 temukan informasi lengkap tentang contoh soal kasus sistem informasi akuntansi dan jawabannya. Contoh soal akuntansi manajemen dan keuangan harapan saya bisa membantu. Contoh soal akuntansi keuangan lanjutan 2 dan jawaban tentang . Bagi seorang akuntan contoh soal . 2 salemba empat contoh soal akuntansi biaya dan jawabannya pdf terupdate . Sistem informasi akuntansi 19 contoh kasus 14 perancangan sistem informasi. Coba jelaskan mengapa dikatakan sitem informasi akuntansi sebagai bagian . Kedua (part 2) dari contoh soal pilihan ganda lengkap dengan kunci jawabannya .

Bagi seorang akuntan contoh soal .

Contoh soal akuntansi keuangan lanjutan 2 dan jawaban tentang . Sistem informasi akuntansi 19 contoh kasus 14 perancangan sistem informasi. 20102019 temukan informasi lengkap tentang contoh soal kasus sistem informasi akuntansi dan jawabannya. Contoh soal kasus sistem informasi akuntansi dan jawabannya . Bangka elektro didirikan pada tahun 2001 di tangerang beralamat di jalan mahalona no.25 tangerang, . Download kunci jawaban praktikum sistem informasi akuntansi edisi 2 salemba. Coba jelaskan mengapa dikatakan sitem informasi akuntansi sebagai bagian . Kedua (part 2) dari contoh soal pilihan ganda lengkap dengan kunci jawabannya . Berikan satu contoh peran sistem informasi manajemen untuk mencapai keunggulan. Soal ekonomi kelas xii bab 1 akuntansi sebagai sistem informasi dan kunci. 2 salemba empat contoh soal akuntansi biaya dan jawabannya pdf terupdate . Contoh soal akuntansi manajemen dan keuangan harapan saya bisa membantu. Bagi seorang akuntan contoh soal .

Bangka elektro didirikan pada tahun 2001 di tangerang beralamat di jalan mahalona no.25 tangerang, . Coba jelaskan mengapa dikatakan sitem informasi akuntansi sebagai bagian . Contoh soal akuntansi manajemen dan keuangan harapan saya bisa membantu. Bagi seorang akuntan contoh soal . Sistem informasi akuntansi 19 contoh kasus 14 perancangan sistem informasi.

Bagi seorang akuntan contoh soal . Contoh Soal Sistem Informasi Akuntansi Dan Jawabannya Dapatkan Contoh
Contoh Soal Sistem Informasi Akuntansi Dan Jawabannya Dapatkan Contoh from image.slidesharecdn.com
Coba jelaskan mengapa dikatakan sitem informasi akuntansi sebagai bagian . Bagi seorang akuntan contoh soal . Contoh soal akuntansi manajemen dan keuangan harapan saya bisa membantu. 2 salemba empat contoh soal akuntansi biaya dan jawabannya pdf terupdate . Contoh soal akuntansi keuangan lanjutan 2 dan jawaban tentang . Kedua (part 2) dari contoh soal pilihan ganda lengkap dengan kunci jawabannya . Contoh soal kasus sistem informasi akuntansi dan jawabannya . 20102019 temukan informasi lengkap tentang contoh soal kasus sistem informasi akuntansi dan jawabannya.

2 salemba empat contoh soal akuntansi biaya dan jawabannya pdf terupdate .

Berikan satu contoh peran sistem informasi manajemen untuk mencapai keunggulan. Bangka elektro didirikan pada tahun 2001 di tangerang beralamat di jalan mahalona no.25 tangerang, . Contoh soal akuntansi manajemen dan keuangan harapan saya bisa membantu. Sistem informasi akuntansi 19 contoh kasus 14 perancangan sistem informasi. Bagi seorang akuntan contoh soal . Coba jelaskan mengapa dikatakan sitem informasi akuntansi sebagai bagian . 2 salemba empat contoh soal akuntansi biaya dan jawabannya pdf terupdate . Contoh soal akuntansi keuangan lanjutan 2 dan jawaban tentang . Soal ekonomi kelas xii bab 1 akuntansi sebagai sistem informasi dan kunci. Download kunci jawaban praktikum sistem informasi akuntansi edisi 2 salemba. Contoh soal kasus sistem informasi akuntansi dan jawabannya . Kedua (part 2) dari contoh soal pilihan ganda lengkap dengan kunci jawabannya . 20102019 temukan informasi lengkap tentang contoh soal kasus sistem informasi akuntansi dan jawabannya.

Contoh Soal Kasus Sistem Informasi Akuntansi Dan Jawabannya / Contoh Soal Dan Jawaban Akuntansi Akad Salam Kak Raffi - Contoh soal akuntansi keuangan lanjutan 2 dan jawaban tentang .. Coba jelaskan mengapa dikatakan sitem informasi akuntansi sebagai bagian . Sistem informasi akuntansi 19 contoh kasus 14 perancangan sistem informasi. Kedua (part 2) dari contoh soal pilihan ganda lengkap dengan kunci jawabannya . Contoh soal kasus sistem informasi akuntansi dan jawabannya . Bangka elektro didirikan pada tahun 2001 di tangerang beralamat di jalan mahalona no.25 tangerang, .

Posting Komentar untuk "Contoh Soal Kasus Sistem Informasi Akuntansi Dan Jawabannya / Contoh Soal Dan Jawaban Akuntansi Akad Salam Kak Raffi - Contoh soal akuntansi keuangan lanjutan 2 dan jawaban tentang ."